オーストラリアのビーチに「人魚の死骸」が漂着! 東洋的“人面魚タイプ”か? 現地学者は当惑
オーストラリアの美しいビーチに打ち上げられた不気味な死骸。その正体に関する議論が加熱している。これは本物の人魚なのか、それとも――!?
記事を読む

生き霊を見るとき、視覚ではなく嗅覚が活動していた……。生き霊の正体は匂いなのか。はたまた嗅覚は霊を捉えるのか?
霊視芸人のシークエンスはやともさんは、生き霊と幽霊が見えるという。生きた人間の思念が生きた人間に憑りつくのが生霊、死んでしまった人の意識が幽霊。
生きた人間の意思は強烈で、はやともさんの目には「人気の芸能人は巨人に見える」ほど生き霊が体中に憑りついているらしい。
そしてある時、はやともさんに興味を持った脳神経学者がはやともさんの脳を調べた。脳のどの部位が活性化するのかをモニターしながら生き霊を見たら、嗅覚部位が活発化していたのだそうだ。
生き霊は匂いだった?
脳の検査結果が正しければ、そういうことになる。ちなみに幽霊の時は脳全体が活性化した。生き霊と違って、幽霊は匂いだけではないらしい。
霊を嗅ぐ、奇妙で怪しい匂いの世界を紹介しよう。
恋愛では体臭が非常に重要な働きをしている。
女性は男性の匂いを極端に嫌うが、例外もある。遺伝的に遠い=近親相姦を避けるため、遺伝病のリスクが低くなる相手の匂いを好ましく感じるらしい。
皮膚の表面にいる菌が皮脂を分解し、体臭を発生させる。この菌の種類が体内の健康状態や遺伝子で変わるのだそうだ。そのために体臭は変化し、一人ひとりの体臭は異なる。
しかも視覚や聴覚と違って、匂いを受容する嗅覚神経はそのまま鼻の真上、感情を司る扁桃体と記憶の中心である海馬を含む大脳辺縁系に直接つながり、そこから嗅覚中枢で処理される。匂いは反射に近い。脳が匂いだと感じる前に、勝手に感情と記憶を揺さぶるのだ。
一目ぼれというが、実際は相手を見るよりも先にひと嗅ぎで恋に落ちている可能性がある。
匂いで? そんなわけないと思う人もいるだろう。
しかし匂いの効果は強烈だ。
たとえば、ロート製薬が発見した女子高生の匂いがある。ラクトンC10/ラクトンC11という、乳製品に近い香りだ。この甘い香りは10~20代女性に特有の匂いだという。
男性に40代女性の写真を見せて、「女性らしさ」「若々しさ」「魅力度」のアンケート評価をとった。石鹸の匂いを嗅ぎながら評価した場合を基準値として、ラクトンC10/ラクトンC11を嗅ぎながら評価すると、「女性らしさ」115パーセント、「若々しさ」147パーセント、「魅力度」174パーセント増となった。匂いで魅力が魅力が倍増したのだ。
ラクトンC10/ラクトンC11を含むボディソープは「DEOCO」という商品になっている。男性の購入者が意外に多く、おじさんが「女子高生の匂いになりました」とレビューに書いて、大いに気持ち悪がられているそうだ。
愛知医科大学の松永正弘らの研究によれば、個人的な記憶にある良い香りで炎症が抑えられるのだそうだ。被験者に懐かしい思い出の匂いを嗅いでもらい、脳をPET(脳の血流を調べる装置)で調べ、同時に血中のサイトカイン濃度の測定した。サイトカインは抗炎症物質で、体内にガンのような腫瘍ができると濃度が高くなる。
実験では、思い出の匂いで記憶に関係する部位の内側眼窩前頭皮質と楔前部/後帯状皮質が活性化、サイトカイン濃度は減少した。楽しい思い出で体内の炎症は収まってしまうらしい。楽しい思い出に浸ることはなかなか難しいが、関連する匂いを使えば、それができる。
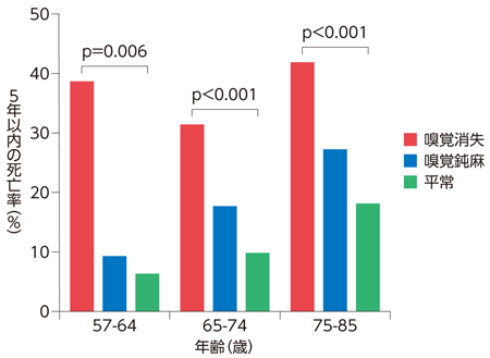
加齢で嗅覚が鈍くなることはわかっていたが、死亡率とも関係している。アメリカで57~75才の人にバラ、革、オレンジ、魚、ペパーミントの5つの香りを嗅ぐテストを受けてもらい、匂いがいくつわかるかを集計した。匂いがまったくわからなかった人は普通に嗅ぎ分けた人に比べて、5年以内の死亡率が4~5倍も高いことがわかった。
人は鼻から老いていくらしい。鼻炎でもないのに匂いがわからなくなったら要注意だ。また嗅覚の低下はアルツハイマー発症の予兆であり、メカニズムはまだわかっていないが、相関関係がある。鼻炎でもないのに嗅覚が鈍くなったら、早く病院へ行こう。

さらに。ガンなどいくつかの病気は、体臭を変える。ガン探知犬という、被験者がガンかどうかを判別するトレーニングを受けた犬もいて、正解率は91パーセント以上。レントゲンや内視鏡では発見しにくいガンも見つけられるため、予備診断として利用されている。
匂いと記憶の関係を書き換えることもできるという。光を使って細胞の動きをコントロールする光遺伝学という技術がある。この技術を使うと脳神経の接続を変え、匂いと記憶の関係を変えることができるそうだ。
まだマウスの段階だが、戦争のトラウマでオイルや火薬のにおいを嗅ぐと恐怖に襲われる元兵士も、匂いと記憶の関係を光遺伝子技術で偽の記憶とつなぎ変えることで、トラウマを消すことが考えられている。たとえばVRを使ってキレイな風景などの記憶と再接続し、戦争の記憶とオイルの匂いの記憶を切り離すわけだ。
はやともさんを調べた結果は、幽霊は匂いではないらしい、ということになる。
その一方で、幽霊は匂いだという霊能者もいる。海外ではClairolfaction(クレアロルファクション)と呼ばれ、透視ならぬ「透嗅」と訳される。
古くは1920年3月17日に霊媒師フランク・クルスキーが降霊会でオゾンの臭いがする燐光を作り出したという記録があり、幽霊が現れる時に匂いがするのだそうだ。
クレアロルファクションの発動には、幽霊が現れるとともに特定の匂いがし、その場の全員がその匂いを嗅ぐことになる場合と、その霊能者だけが特定の匂いを嗅ぐ2パターンがある。
前者の場合、筆者も経験があるが、線香の匂いというか古本屋の匂いのような、乾いた異臭がする。オゾン臭のような刺激臭ではなく、古い家の匂いといえばいいのだろうか。不快ではないが、いい匂いではない。
後者の場合、その霊能者は記憶のようなものを嗅ぐそうだ。ある霊能者がレストランで食事中に急にタバコの匂いがし始めて困惑した。匂いは店を出てからも続き、自宅に戻ってから新しい客からの電話を受けて理由がわかったそうだ。その客の依頼はある男性の行方を透視してほしいというものだったが、その対象の男性はヘビースモーカーだというのだ。
別の霊能者は、幼いころ、近所に住む病弱な女の子と仲が良く、よく一緒に庭の桃の木の下で遊んでいた。それから何年か経ち、引っ越して別の場所で暮らしていた霊能者が、突然、濃厚な桃の匂いに包まれた。直感的によく遊んだ少女が死んだことを理解したという。家族に連絡をとると、少女が亡くなって間もなかったのだそうだ。
これらの霊能者の話は、はやともさんのいう、生き霊は匂いだという話と合致する。何かが嗅覚を刺激するのだ。
クレアロルファクションの、おそらく生き霊に由来するものはトレーニングで身につくらしい。実はアメリカにはクレアロルファクションのネット講座がいくつもある。匂いで相手のことがわかる超能力なら、欲しい気がする。相手が自分を好きかどうか、すぐにわかるわけだしね。

久野友萬(ひさのゆーまん)
サイエンスライター。1966年生まれ。富山大学理学部卒。企業取材からコラム、科学解説まで、科学をテーマに幅広く扱う。
関連記事
オーストラリアのビーチに「人魚の死骸」が漂着! 東洋的“人面魚タイプ”か? 現地学者は当惑
オーストラリアの美しいビーチに打ち上げられた不気味な死骸。その正体に関する議論が加熱している。これは本物の人魚なのか、それとも――!?
記事を読む
消滅事件を引き起こす“魔の三角地帯”ーーマレーシアとオーストラリアにある恐怖の海域/世界の新七不思議
超巨大建造物から超常事件の現場まで、各地のさまざまなミステリーを、超常現象研究の第一人者・並木伸一郎がセレクトした〝世界の新七不思議〟をご案内! 今回は〝7種の異次元空間〟に選定したなかから、まだある
記事を読む
「彼らは見ている」ユリ・ゲラーが公開した鮮明UFO映像の意味は? ほか不思議ニュースまとめ/web MU HOT PRESS
今週世界を驚かせた最新不思議情報を一挙紹介!
記事を読む
「ヒル夫妻誘拐事件」のDNA解析で判明! 異星人レティキュリアンの正体/並木伸一郎
1961年にアメリカで発生した異星人によるヒル夫妻誘拐事件。これまでにさまざまな検証が行われてきたが、事件発生時に着ていた衣服に着目した例はないだろう。誘拐された際、激しく抵抗したヒル夫人が着用してい
記事を読む
おすすめ記事